
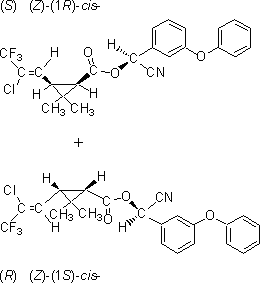
Chemical Abstracts name
[1α(S*),3α(Z)]-(?cyano(3-phenoxyphenyl)methyl 3-(2-chloro-3,3,3-trifluoro-1-propenyl)-2,2-dimethylcyclopropanecarboxylate
Biochemistry Acts on the nervous system of insects, and disturbs the function of neurons by interaction with the sodium channel.
Mode of action Non-systemic insecticide with contact and stomach action, and repellent properties. Gives rapid knockdown and long residual activity.
Uses Control of a wide spectrum of insect pests, e.g. aphids, Colorado beetles, thrips, Lepidoptera larvae, Coleoptera larvae and adults, etc., in cereals, hops, ornamentals, potatoes, vegetables, cotton, and other crops. Provides good control of insect-borne plant viruses, at 2-5 g/ha. Also used for control of insect pests in public health.
Formulation types 2.5%EC
Standard of 95%TC
|
Testing Items |
Standard % (w/w) |
|
Appearance: |
Off-white to light yellow powder |
|
Content: |
≥95.0 |
|
Water: |
≤0.5 |
|
Acidity (calculte as H2SO4): |
≤0.3 |
|
Insoluble in Acetone: |
≤0.5 |